2024年湖南高考一分一段表已经公布,为了方便大家大致了解自己成绩排名,小编整理了2024年湖南一分一段表供大家参考。
2024湖南高考历史一分一段表
2024湖南历史类一分一段表:





2023湖南高考历史一分一段表
2023湖南高考历史一分一段表已经更新,一起来看看吧!
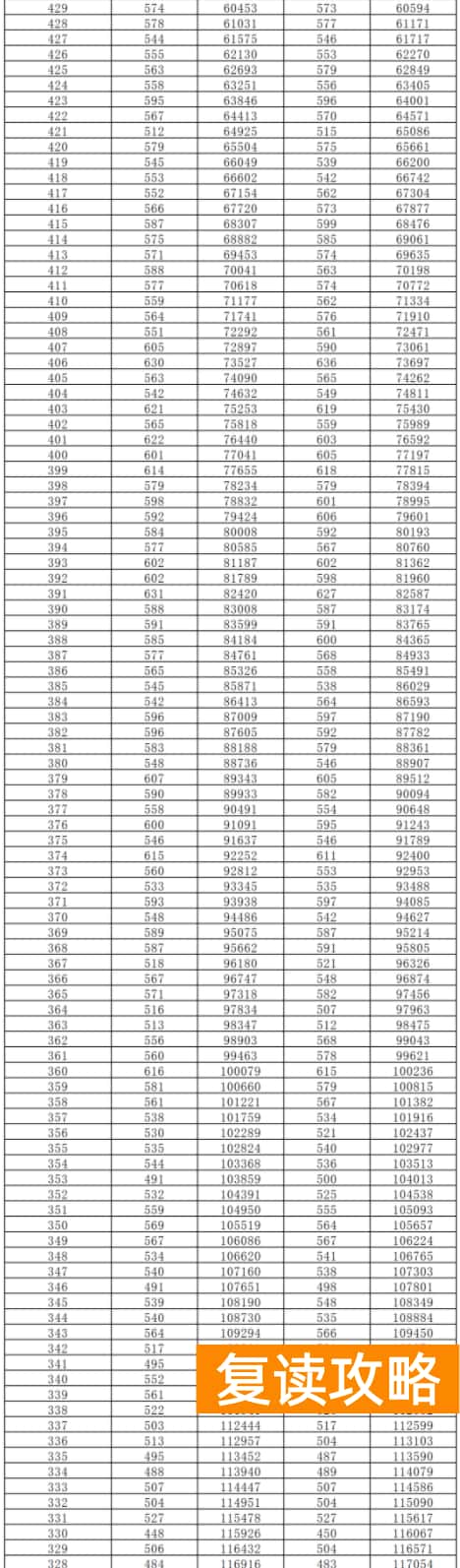
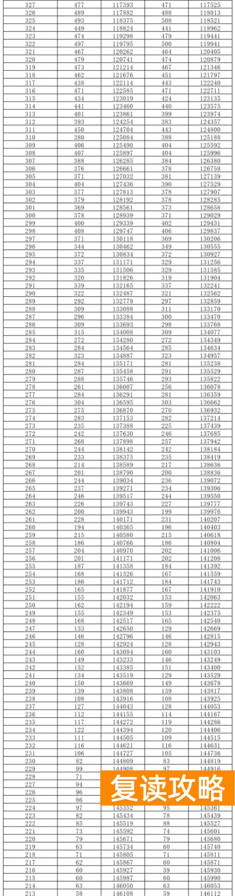
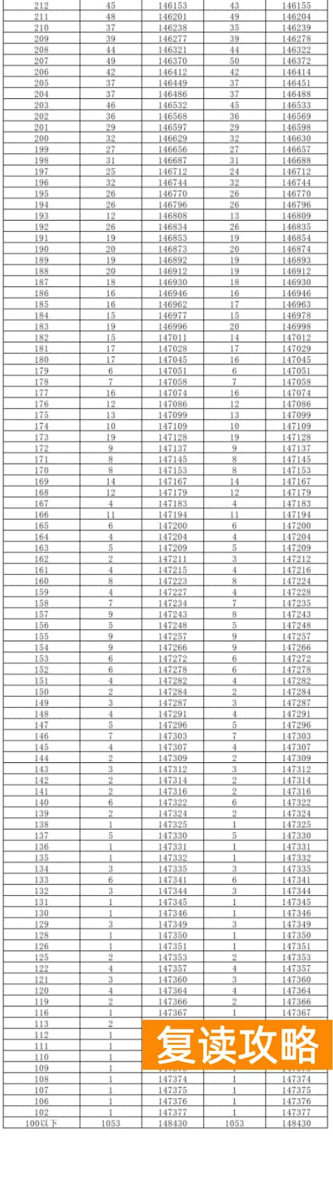
湖南省2023年普通高考档分1分段统计表(历史科目组合)档分本段人数累计人数本段人数累计人数(含全国性加分)(含全国性和地方性加分)6554535556545585606536645656521175127765147968365078679064911971010064814111121126477118812064610128121326451214013145644131531415964311164111706421417814184641171951720164020215202216391422915236638202492025663719268182746362329123297635213122131863427339293476332536427374632183821939363118400164096301841819428629184361844662820456214676272147723490626235002051062539539375476242656525572623285933060262230623346366213165434670620396933970961934727357446184477142786617348053682261657862548766153589735911614469434395461357100062101661248104850106661148109653111961051114746116560957120462122760860126460128760747131151133860653136451138960558142262145160469149166151760375156673159060268163461165160166170065171660055175553176959972182775184459886191389193359765197870200359664204272207559582212485216059482220682224259383228978232059281237081240159184245480248159092254694257558983262983265858896272595275358791281691284458688290497294158596300010130425849930999931415838531849232335821053289108334158191338095343658098347889352557994357296362157810936811073728577943775105383357612438991163949575118401712540745741114128112418657311042381054291572116435411144025711214475119452157012646011224643569143474414447875681134857114490156710649631095010566120508311551255651275210125525056413953491405390563149549815155415621335631140568156116257931635844560134592713659805591376064138611855814762111516269557174638516964385561396524138657655514766711476723554163683416468875531656999167705455214171401527206551169730917073765501747483182755854916576481767734548194784218579195471668008161808054616781751688248545173834817484225441858533173859554318587181838778542175889317789555411759068180913554016792351679302539200943519494965381999634207970353719598291959898536217100462231012153523310279231103525342191049822210574533226107242161079053222110945216110065312211116623411240530233113992421148252923811637247117295282511188824611975527270121582721224752626112419253125005252531267225012750524256129282611301152324513173247132585222631343627213530521255136912601379052028013971275140655192741424527514340518293145382901463051730114839299149295163291516832715256515272154402691552551425715697256157815132781597528216063512283162582791634251132216580329166715102761685628316954509322171783281728250835517533345176275073071784031017937506327181673281826550530018467301185665043361880333518901503321191243321923350235519479365195985013741985338219980500341201943392031949936720561362206814983572091835521036497375212933832141949636521658361217804953832204137922159494384224253992255849337722802386229444924262322840223346491370235983702371649039923997396241124894112440842124533488423248314072494048742225253430253704864042565739825768485381260383902615848445526493461266194834642695747727096482434273914382753448147127862463279974804532831545828455479443287584482890347846029218462293654774912970948229847476439301484403028747547530623471307584744653108845731215473516316045113172647249132095499322254714673256249432719470491330535023322146953333586520337414685593414554934290467527346725233481346653135203539353524655263572954335895464525362545233641846354536799534369524625643736355437506461589379525803808646054538497554386404595183901552539165458535395505273969245756440114559402514565834069758040831455548412455454137645454741792556419324535734236558142513452570429355664307945153843473546436254505774405057444199449550446005564475544857445174594453494475954576959745946446555463245544650044559646920590470904445984751859847688443596481145924828044260048714600488804415894930359249472440599499025925006443963450536620506844385955113158451268437600517315945186243659352324595524574356115293561653073434635535706545372743360554175603543304326145478961554945431633554226275557243061956041624561964296085664961656812428566572155695738142762557840629580104266285846862758637425615590836155925242464859731639598914235886031960460495422661609806476114242161161591605617474205916218259362340419659628416706301041862463465631636414176256409062464265416620647106226488741563365343619655064146276597062566131413690666606886681941261567275623674424116476792263568077410621685436186869540962169164617693124086486981264669958407630704426327059040663671078648712384056547173265871896404652723846517254740362373007624731714026617366866773838401602742705907442840065074920655750833996697558966875751398626762156337638439763876853654770383966807753368877726395691782247067843239467078894667790993936527954665679755392649801956278038239165280847658810403906878153467281712389647821816478235938864782828647830063876318345961683622386684841436808430238564984792651849533846398543164885601383661860926608626138267586767676869373816278739463187568380675880696838825137962588694634888853786608935465089535377661900156769021137663490649634908453756779132667791522374686920126719219337370792719719929123726759339466693578371599939936109418837062094613616948043696789529167495478368663959546679614536762196575630967753666719724664697421365647978936449806536465898551647987123636519920264899360362627998296079996736165810048765310062036061210109962010124035961210171162610186635863710234865110251735767410302267110318835664410366664710383535566810433466210449735464110497565610515335364310561864410579735260410622260510640235162010684262910703135064810749064510767634962010811060010827634863710874762810890434761410936161310951734665711001866911018634557411059257611076234462911122161511137734363611185763611201334259811245559811261134161411306960811321934058511365459211381133958611424057911439033858711482759311498333758311541057711556033654011595053811609833557311652357611667433457011709358311725733360511769860311786033256511826355611841633154611880956111897733054911935854411952132955711991555012007132853512045052412059532750112095150412109932651012146150912160832560412206560612221432450312256850112271532352312309152512324032254112363254312378332152512415751712430032053912469654212484231954612524254012538231853512577752712590931746612624347312638231651412675750612688831548212723947512736331449912773849812786131349212823049512835631249812872849712885331146212919046912932231045912964946112978330949913014848313026630843513058344513071130744813103144813115930645513148645113161030546713195345813206830442713238042113248930344113282144713293630244713326844113337730145013371843513381230044113415945113426329940813456741413467729842213498942913510629744713543645713556329641013584640513596829541213625840613637429441913667741713679129338313706038013717129238913744939513756629138713783638713795329039913823540213835528937213860737713873228836113896835313908528738613935437513946028640113975538913984928536414011936614021528437014048936914058428336814085737214095628238014123737014132628134314158034214166828036414194436014202827935814230236314239127833514263733414272527736014299736214308727632314332032514341227531414363431414372627434514397933314405927332014429931414437327231814461732114469427130714492430514499927030014522429314529226934414556833914563126829514586330414593526729214615528814622326632914648432314654626530914679330114684726430114709430114714826329314738729314744126229514768229914774026128514796728514802526025414822124914827425924614846724714852125828614875328214880325727214902527214907525624614927124814932325525014952125414957725424814976924714982425324215001123515005925222915024023015028925122915046922315051225022415069322515073724921515090821215094924822115112921415116324722915135822115138424622715158522915161324520115178619915181224418915197519115200324320415217920515220824218215236117915238724119515255619415258124017715273317815275923918415291718615294523816315308015615310123714215322214015324123615815338015315339423517015355017115356523415115370115215371723318015388117815389523217115405217315406823114015419213815420623014615433814415435022913915447713515448522813015460713015461522712515473212715474222611515484711415485622513215497913415499022412415510312115511122313015523312715523822211215534511115534922111415545911415546322010215556110315556621912515568612515569121811315579911215580321795155894951558982161061560001061560042159715609798156102214891561869015619221394156280931562852126415634463156348211811564257915642721077156502801565072097715657976156583208571566365715664020765156701661567062065315675454156760205541568085115681120453156861541568652036015692159156924202611569826115698520153157035531570382006015709560157098199461571414615714419844157185461571901975115723649157239196441572804415728319543157323421573251946415738763157388193521574395215744019241157480411574811913115751131157512190401575514115755318941157592411575941882515761724157618187371576543715765518635157689361576911852715771628157719184241577402415774318313157753141577571822515777825157782181191577971915780118019157816181578191791915783519157838178121578471215785017727157874261578761762415789823157899175151579131415791317416157929161579291731915794820157949172111579591115796017115157974151579751701915799318157993169161580091615800916815158024151580241677158031715803116616158047161580471651215805912158059164141580731415807316311158084111580841621215809612158096161131581091315810916091581189158118159101581281015812815891581379158137157111581481115814815641581524158152155615815861581581546158164615816415331581673158167152615817361581731517158180715818015071581877158187149101581971015819714891582069158206147111582171115821714671582247158224145215822621582261445158231515823114331582343158234142315823731582371414158241415824114061582476158247139215824921582491382158251215825113731582543158254135215825621582561344158260415826013321582623158263132415826641582671317158273715827413051582784158278129115827911582791281158280115828012741582844158284126515828951582891252158291215829112431582943158294123115829511582951223158298315829812111582991158299120115830011583001194158304415830411811583051158305117115830611583061162158308215830811521583102158310114115831111583111133158314315831411221583162158316111115831711583171091158318115831810821583203158321107115832111583221062158323215832410011583241158325100以下11651594891164159489一分一段表的作用是什么
一分一段表是包含了加分的,加分也会体现在一分一段表中,考生不必担心是否有成绩在自己后面的考生,通过加分后超越自己。
填报志愿最关键的第一步,是在一分一段表中查找与自己成绩相对应的分数排名,以及这一位次的成绩共有多少考生,以此来确定个人成绩在全省的位置。
建议考生下载一份本省的一分一段表,便于随时分析、使用。一分一段表上显示出每一个分数全省的考生有多少名,这个数据的参考价值最大。