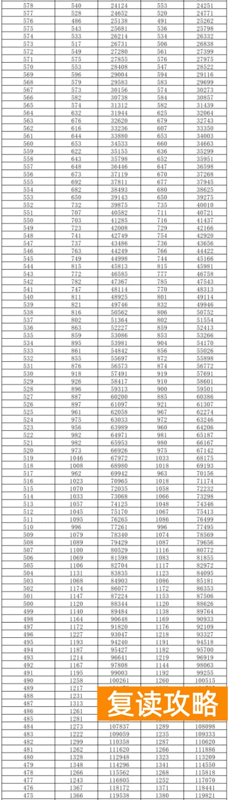
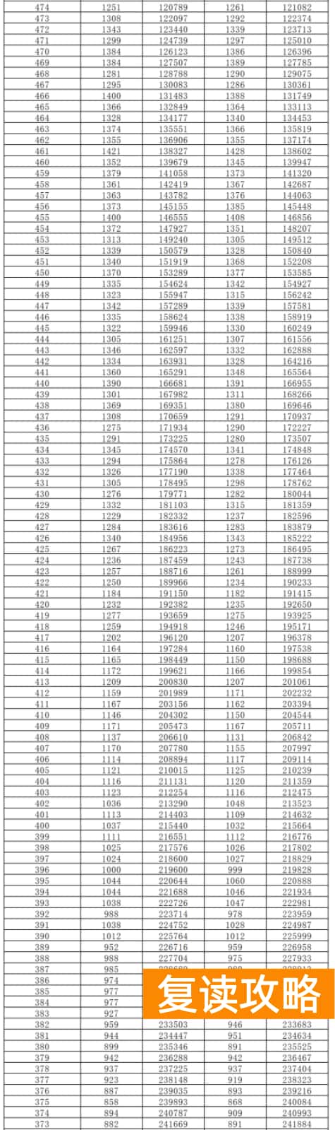
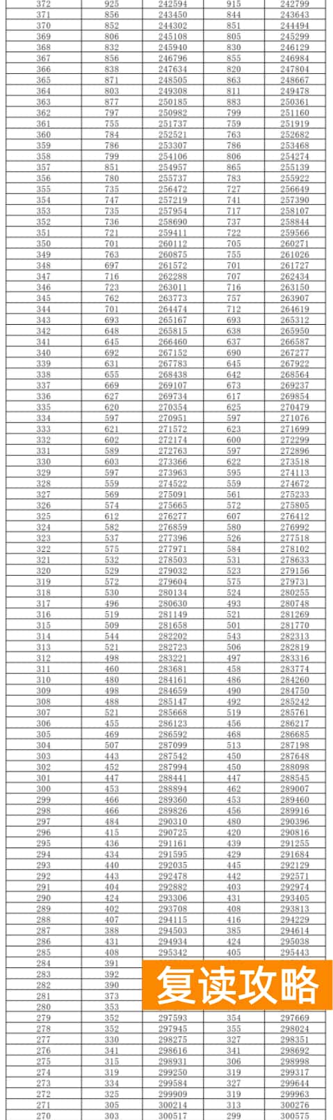
2024年湖南高考一分一段表已经公布,为了方便大家大致了解自己成绩排名,小编整理了2024年湖南一分一段表供大家参考。湖南考生和家长可以根据2024年一分一段表,充分了解自己的分数在今年高考中处于什么位次,一分一段表就是把定位具体化为排名。
2024湖南高考物理类一分一段表



2024湖南高考一分一段表有什么用
通过一分一段表,湖南考生可以查到自己的高考成绩在今年全省考生中的排名,并大致了解到自己的“竞争”对手有多少。无论与去年相比高考批次线波动是否明显,湖南考生都不能仅凭分数填报志愿,而应充分利用“一分一段表”作为填报参考。
一分一段表是很客观的参考数据。湖南考生一定要认真分析,清楚自己的排位,从而正确填报学校。
尤其是高分段的湖南考生,更要好好地研究排名, 排名在某种程度上决定了你能去哪所大学、学习什么样的专业。