2024年湖南高考一分一段表已经公布,为了方便大家大致了解自己成绩排名,小编整理了2024年湖南一分一段表供大家参考。
2024湖南高考物理一分一段表





2023湖南高考物理一分一段表
2023湖南高考物理一分一段表已经更新,快来看看你的位次及排名吧
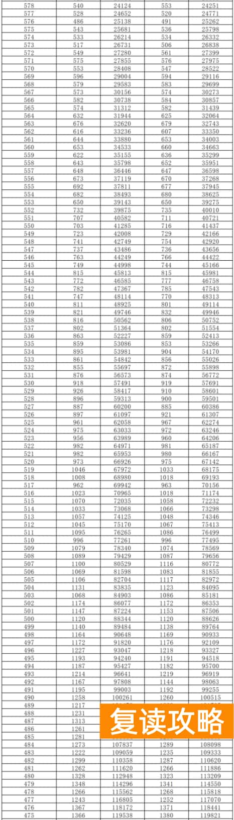
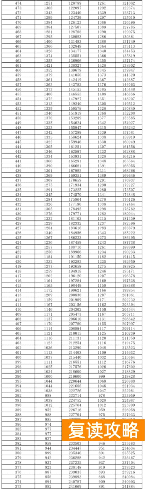
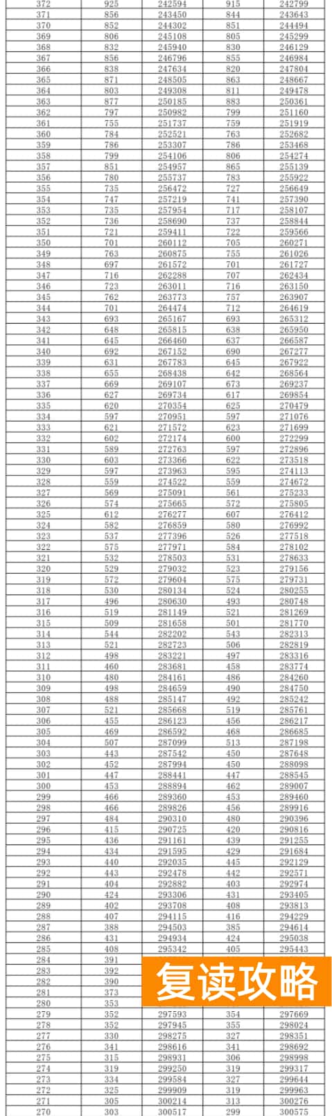
湖南省2023年普通高考档分1分段统计表(物理科目组合)档分本段人数累计人数本段人数累计人数(含全国性加分)(含全国性和地方性加分)68813571360687562565686971974685128312866841295119768315110161136821612616129681191451814768020165211686791217714182678322093521767731240312486762326323271675322953030167427322273286734837047375672293993040567143442424476703347534481669565315954066844575455856673661139624666636746468866566740687566646380363819663608636288166276939729536618610258810416608011057711186599411999512136589512941001313657931387941407656981485103151065510115861021612654116170212217346531071809106184065212219311261966651136206713621026501172184111221364911522991182331648162246116424956471232584124261964614627301372756645187291718729436441533070149309264316832381683260642177341518434446411803595180362464014837431553779639197394019539746381924132196417063720343351954365636195453020245676351854715182474963419749121994948633208512021051586321755295182534063120154962045544630227572322757716292415964251602262822461882186240627239642724364836262466673242672562524969222596984624240716223772216232687430262748362229177212897772621290801129680686202698280275834361928085602808623618305886530289256173179182319924461627994612809524615291975229898226143081006030810130613364104243641049461234710771340108346113631113437011204610325114593201152460933311792334118586083771216937412232607350125193591259160634112860348129396053671322737113310604376136033641367460338613989386140606023811437039214452601378147483831483560040115149408152435993581550736715610598419159264211603159739916325397164285964621678746216890595412171994131730359440617605401177045934151802042318127592442184624431857059141618878416189865904211929941419400589426197254391983958846820193459202985874722066546820766586429210944342120058548321577483216835844602203746722150583502225395012265158244322982442230935815052348750423597580477239644692406657950524469502245685785202498951825086577527255165342562057656926085558261785755352662054126719574503271235132723257354027663544277765725322819553228308571588287835972890557055929342562294675695892993158430051568523304545253057656757531029573311495665833161258131730565580321925803231056459532787601329115635703335758133492562627339846223411456157834562578346925606043516660335295559619357856273592255863736422625365475576063702861637163556638376666423780555561038276613384185546263890261939037553696395986953973255262640224631403635516614088566441027550651415366404166754965542191670423375486554284667343010547655435016704368054668744188688443685457144490269545063544735456377354579854367746314675464735426764699068747160541715477057064786654073148436730485965398034923979749393538725499647195011253773050694738508505367485144276051610535711521537065231653472652879719530355337535363276953804532795544278125461653173355160728553445308035596379556139529765567287635690252878257510778576805277935830378758467526767590707645923152577959849776600075247796062877760784523816614448316161552282962273828624435218656313887763320520864640028576417751985864860868650455188496570983865883517826665358146669751688267417880675775158396825685568432514812690688006923251384969917868701005128947081189270992511864716758577184951082872503819726685098957339889673564508913743119257448950785075161863753525068827604388476236505847768908487708450488777777880779645038837866088278846502928795889397978550191280500913806985008468134684081538499910822569068244449894483200951833954979128411291284307496917850299098521649598186010986862024949088691891687118493901878199138803149292388742924889554919058964791989874490969906169559082948999591611990918194881007926181001928204879269354492693746486974945189779472348599395511983957064849969650710029670848397097477972976804829689844597598655481102199466100999664480991100457995100659479991101448100110166047810291024771035102695477989103466976103671476973104439976104647475101410545310221056694741026106479102310669247310641075431048107740472991108534976108716471102710956110171097334709621105239631106964691020111543101911171546810691126121079112794467998113610101511380946610341146441034114843465105611570010651159084641062116762106011696846310261177881041118009462111611890411191191284619971199011017120145460104712094810461211914599821219309821221734581031122961101612318945710811240421079124268456106712510910551253234551056126165104712637045410801272451097127467453111612836111311285984521053129414106512966345110871305011085130748450104313154410411317894491112132656111113290044810831337391090133990447109513483410741350644461065135899105213611644510431369421048137164444106813801010771382414431092139102106913931044210801401821086140396441105114123310581414544401056142289106114251543910881433771083143598438104114441810421446404371105145523109314573343610881466111081146814435108014769110971479114341117148808112014903143310551498631057150088432109515095811001511884311081152039109715228543010781531171069153354429105115416810521544064281057155225105515546142710711562961065156526426115315744911461576724251105158554108515875742410381595921048159805423106316065510581608634221085161740109016195342110781628181067163020420107116388910651640854191076164965108016516541811051660701094166259417104716711710571673164161080168197108816840441510751692721079169483414103517030710321705154131010171317994171509412984172301979172488411987173288982173470410100917429710221744924091036175333102817552040899817633110091765294079641772959731775024061024178319103617853840597217929196717950540499218028399218049740394218122594318144040298018220598118242140110141832191023183444400988184207974184418399974185181960185378398911186092911186289397974187066967187256396101418808010201882763959741890549701892463949811900359741902203939481909839361911563929401919239411920973919391928629451930423909111937739231939653898941946679061948713889521956199541958253878971965168921967173869241974409061976233859611984019451985683848901992919001994683838892001808972003653828872010679002012653818492019168462021113808552027718582029693798692036408642038333788132044538142046473778662053198452054923768432061628422063343758682070308672072013748132078438142080153738452086888432088583728142095028022096603718172103198232104833708212111408352113183698112119518282121463688612128128682130143678102136228142138283668122144348012146293658522152868482154773648062160927912162683637412168337352170033627742176077822177853617292183367412185263607562190927412192673597642198567692200363587902206467842208203577212213677362215563567932221607772223333557072228677072230403547372236047332237733537022243066972244703527352250417252251953517462257877432259383507392265267512266893496632271896712273603486742278636752280353476992285626912287263466752292376742294003456792299166702300703446742305906812307513436242312146222313733426572318716522320253416362325076282326533407032332106972333503396282338386342339843385962344345902345743376422350766432352173366192356956132358303356082363035982364283346292369326292370573336082375406122376693326352381756422383113315892387645932389043306212393856192395233296012399865962401193285712405575802406993275712411285662412653265392416675442418093255492422165552423643245402427565362429003235242432805232434233225452438255452439683215332443585352445033205112448695072450103195132453825142455243185382459205262460503175292464495332465833165212469705272471103154992474694942476043144972479664952480993134632484294662485653124832489124802490453114612493734452494903104552498284492499393094932503214882504273084872508084892509163074842512924692513853064732517654742518593054352522004252522843044442526444472527313034342530784342531653024282535064302535953014392539454322540273004482543934432544702993992547924022548722984312552234342553062973862556093892556952963842559933872560822953812563743802564622944152567894132568752934072571964012572762923692575653822576582914112579764142580722903702583463722584442894132587594032588472883792591383872592342873702595083582595922863992599073982599902853812602883732603632843402606283452607082833442609723452610532823492613213512614042813342616553382617422803422619973442620862793302623273262624122783112626383022627142773212629593192630332763122632713102633432753452636163342636772743182639343162639932732672642012672642602722912644922892645492713052647973142648632702892650862902651532693002653863002654532682852656712782657312672952659662952660262662922662582922663182652652665232592665772642902668132812668582632572670702582671162622662673362712673872612692676052702676572602552678602522679092592322680922282681372582592683512602683972572332685842272686242562282688122262688502552062690182072690572542042692222072692642532272694492302694942522012696501992696932512012698511952698882502162700672132701012492092702762022703032481922704681952704982471812706491762706742461962708451952708692451852710301862710552441652711951682712232431942713891962714192421702715591672715862411712717301692717552401792719091762719312391582720671602720912381672722341652722562371552723891582724142361352725241322725462351622726861582727042341332728191262728302331292729481332729632321402730881402731032311352732231392732422301392733621402733822291432735051412735232281162736211132736362271162737371112737472261032738401022738492259827393899273948224105274043107274055223102274145103274158222102274247103274261221862743338627434722078274411792744262198627449785274511218892745869327460421787274673842746882161012747741022747902151032748771022748922147227494970274962213692750186527502721280275098802751072115727515559275166210572752125627522220948275260472752692085327531350275319207462753594627536520649275408472754122055227546052275464204432755034227550620349275552482755542024527559746275600201362756333527563520035275668362756711994627571445275716198402757544027575619732275786322757881962527581124275812195262758372527583719418275855182758551933127588631275886192242759102427591019117275927182759281902927595629275957189172759731727597418816275989162759901871427600314276004186232760262327602718514276040142760411841727605717276058183262760832627608418216276099172761011811327611212276113180172761291727613017992761389276139178727614572761461771327615813276159176727616572761661751527618016276182174227618222761841738276190827619217211276201927620117142762054276205170102762151027621516992762249276224168627623062762301676276236627623616672762437276243165327624632762461643276249327624916352762545276254162627626062762601615276265527626516072762727276272159627627872762791583276281327628215762762876276288156527629242762921557276299727629915472763068276307153427631042763111523276313327631415172763207276321150127632112763221495276326427632614712763271276327146827633582763351452276337227633714422763392276339143327634232763421423276345327634514022763472276347139427635142763511382276353227635313722763552276355136227635722763571351276358127635813422763602276360132427636442763641311276365127636513022763672276367129327637032763701282276372227637212742763764276376126227637822763781231276379127637912232763823276382121227638422763841193276387327638711832763903276390115227639232763931141276393127639411342763974276398112127639812763991112276400227640111012764010276401109327640432764041081276405127640510522764072276407103227640922764091021276410127641010022764122276412100以下898277310898277310一分一段表的作用是什么
一分一段表,是将全省同科类考生的档案分从高到低排列,再按每1分一段,统计“本段人数”;从本段向上一直到最高分段的所有“本段人数”相加,则为“累计人数”。
一分一段表一般是指高考次数和分数的统计表,通过这个表,考生不仅知道各批次的分数线,同时还能了解自己在全省考生中的排位,以及同分段考生的数量,更有利于考生对自己进行合理的定位。