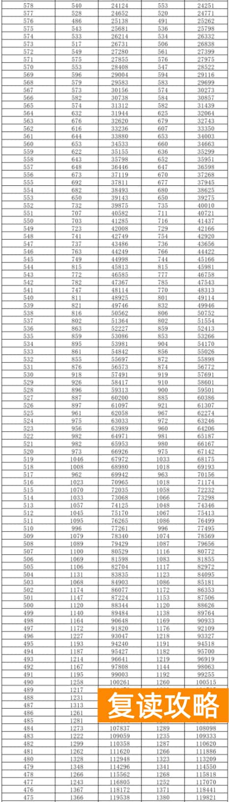
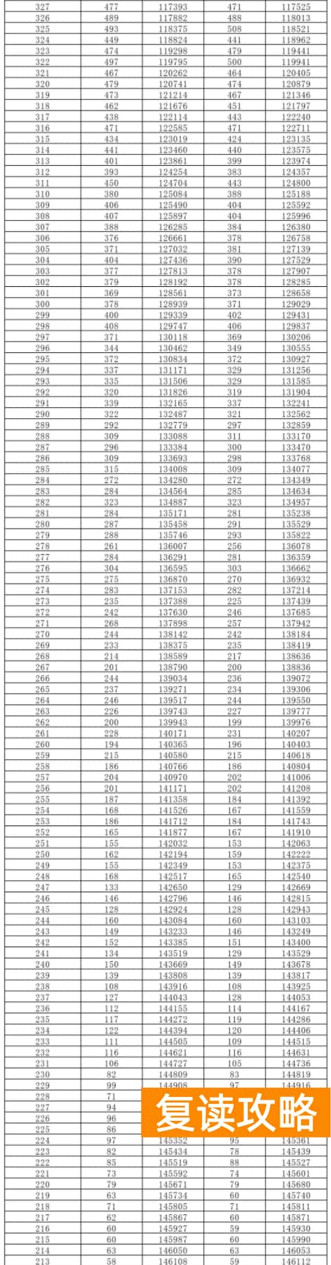
2024湖南高考一分一段表已经发布,其中物理类691人累计人数是70人;685人累计人数是161人;678人累计人数是343人;676分累计人数是412人。以下是详细内容,大家可以看一看。
2024湖南高考一分一段表最新整理湖南高考“一分一档”,是以“1分”为单位,统计湖南高考获得该分数的考生人数和累计人数。一分一段表显示每一个分数全省考生有多少名,能让你计算出自己的排位。以下是2024湖南高考一分一段表,大家可以看一看。
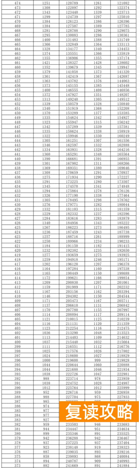
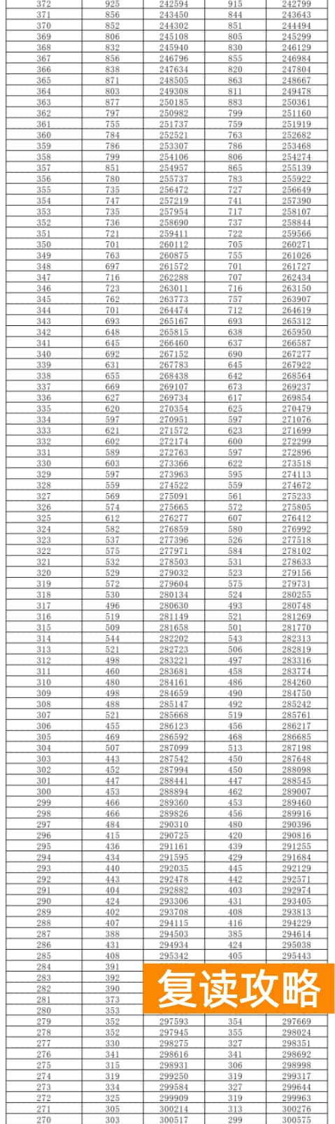
2024湖南高考物理类一分一段表:





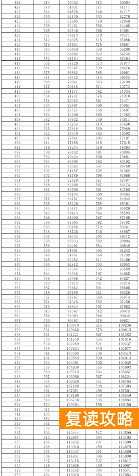
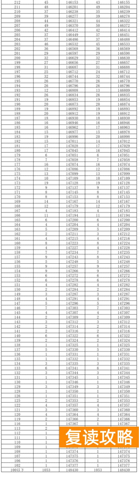
2024湖南历史类一分一段表:





湖南一分一段表,是将全省同科类考生的档案分从高到低排列,再按每1分一段,统计“本段人数”;从本段向上一直到最高分段的所有“本段人数”相加,则为“累计人数”。
湖南高考一分一段表是包含了加分的,加分也会体现在一分一段表中,考生不必担心是否有成绩在自己后面的考生,通过加分后超越自己。
建议考生下载一份本省的一分一段表,便于随时分析、使用。一分一段表上显示出每一个分数全省的考生有多少名,这个数据的参考价值最大。
湖南高考一分一段表一般是指高考人数和分数的统计表。通过一分一段表可以知道,本省所有文科/物理类考生,在某一分数上,同分值的人数有多少,还有就是截止到某分数值,一共累计有多少人。
湖南考生根据高考一分一段表去填报志愿,把握要大得多。各高校在招生录取时,会根据学生的排名进行依次检索。
比如,这多大学的招生计划为50人,它会从高分到低分,检索学生的志愿,检索到第50个人(如果按1:1招生),这个人的分数便是录取分数线。因此,各高校是根据学生排名而非高考成绩进行录取的,此时便体现出了一分一段表的重大作用,湖南考生填报志愿时可以参考一分一段表。
湖南高考物理类一分一段表作用有哪些没有一分一段表的时候,考生们填报志愿的主要根据为自己的分数。但是由于每年高考试题难度和高考人数不一致等,导致各高校的录取分数每年都在变化,这让很多考生无所适从。
根据湖南高考物理类一分一段表去填报志愿,把握要大得多。各高校在招生录取时,会根据学生的排名进行依次检索。
比如,这多大学的招生计划为50人,它会从高分到低分,检索学生的志愿,检索到第50个人(如果按1:1招生),这个人的分数便是录取分数线。
因此,各高校是根据学生排名而非高考成绩进行录取的,此时便体现出了湖南高考物理类一分一段表重大作用。