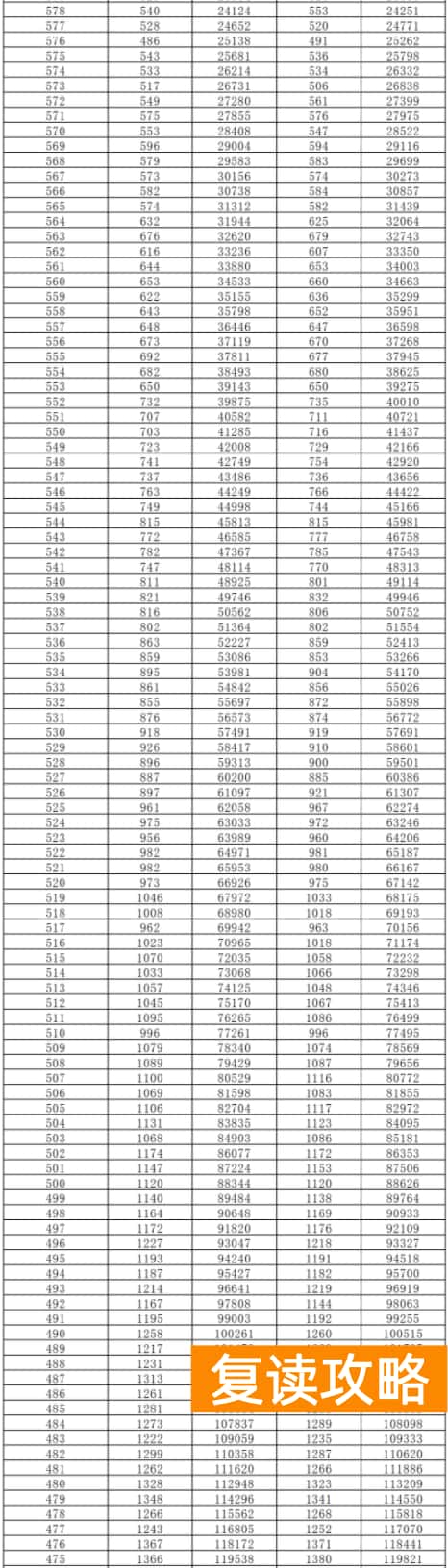
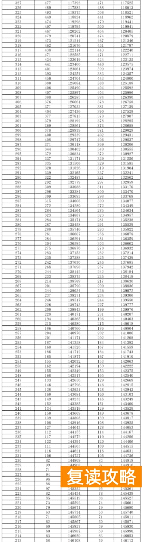
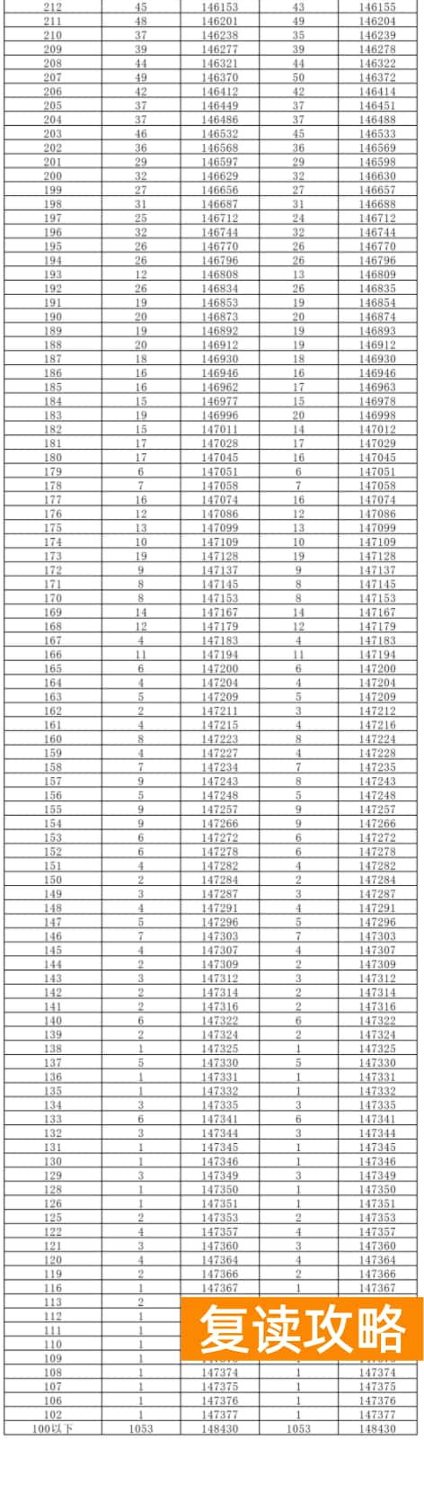
2024湖南高考物理类一分一段表已经发布,其中692分累计人数是57人;688分累计人数是100人;683人累计人数是195人;681分累计人数是246人;679人累计人数是306人。以下是详细内容,大家可以看一看。
2024湖南高考物理类一分一段表最新整理高考一分一段表是查询省排名最重要的资料,也是各位高考生填报志愿必须查看的资料。2024湖南高考物理类一分一段表如下:
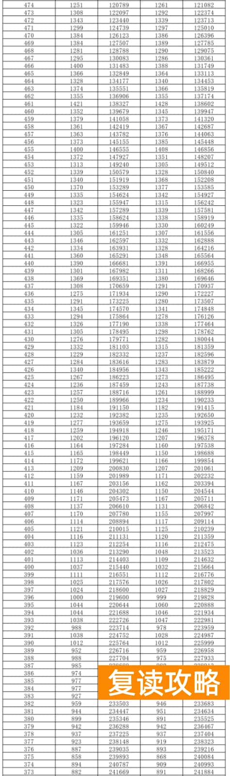
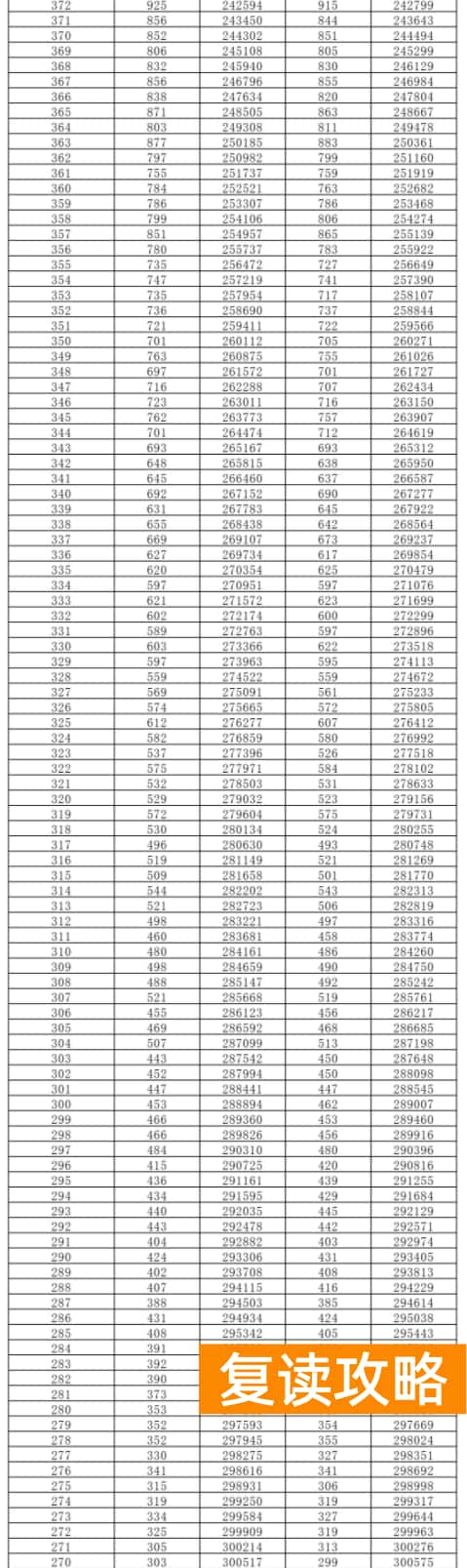
2024湖南高考物理类一分一段表:





2024湖南历史类一分一段表:





找准位置
填报志愿最关键的第一步,是在“一分一段表”中查找与自己成绩相对应的分数排名,以及这一位次的成绩共有多少考生,以此来确定个人成绩在全省的位置。
同时,查一下自己的目标院校在往年的录取线是多少,该院校的录取线在当年“一分一段表”中的位置,再查一下该院校在当年的招生人数,参照今年的招生计划人数,综合判断自己今年的位置是否能够被目标院校录取。
分析填报梯度
考生可以根据自己的分数对照一分一段表,再参照今年各类高校各批次招生计划数,确定自己该如何填报志愿。
考生要看该批次招多少人,自己处于哪个层次。如果成绩所在的某一分数段上其他考生过于集中,那么在填报志愿时就应注意保持各院校、各专业的志愿填报梯度。
此外,在平行志愿填报时,需要注意6个志愿之间的梯度,可以参照“冲、稳、保”的策略来选择学校,合理确定各志愿高校之间的梯度。
看高校近三年的录取
对比一下近三年来的“一分一段”表,看看所想要填报的大学连续三四年的校线在哪个段位(即高出所在批次多少分),若自己的分数比至少两年的段位高,那报考该校把握较大。
多渠道了解其他考生填报意向
因为看“一分一段表”,有的分数段内只有数十名考生,有的则有数百名。分数处于密集段的学生,“一分一段表”的参考价值将降低。考生填报志愿时尽量多通过高校招办、老师、同学了解其他考生志愿填报意向,慎重选择历年报考较热、今年在本省投放招生计划数少的院校,以避免因志愿“扎堆”而落档的风险。
如果同一个分数段里出现了考生扎堆的现象,就要更加谨慎填报,例如看去年的录取分数线时,假设去年考生的成绩要超过录取分数线30分能上某所学校,但是去年这个段位没有出现扎堆现象,所以今年要超过40分才比较有把握。