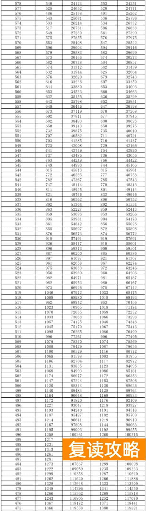
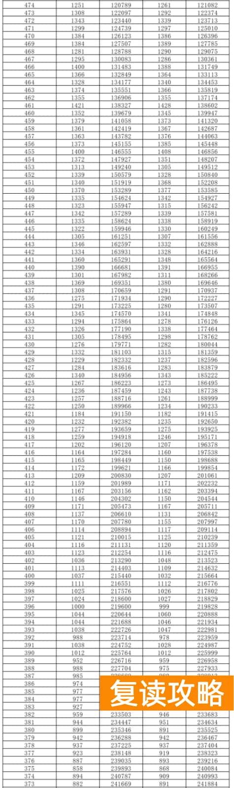
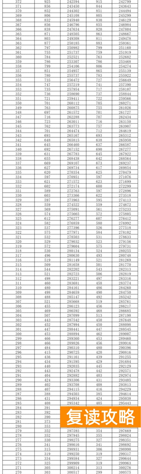
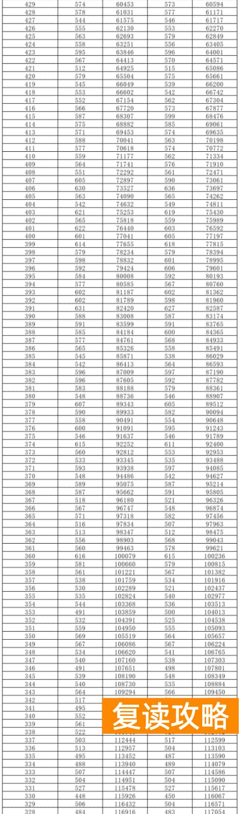
湖南2024年高考一分一段表已经公布,请湖南考生们耐心等待。湖南高考一分一段表是很重要的填报志愿的依据,是从高到低的排名,考生根据成绩对照一分一段表,就可以知道自己在全省的排名,再参照各类学校各批次招生计划数,确定自己该如何填报志愿。
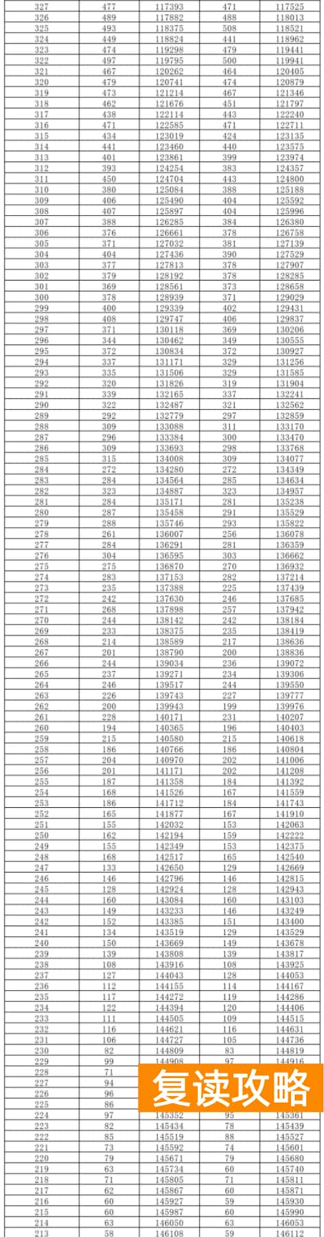
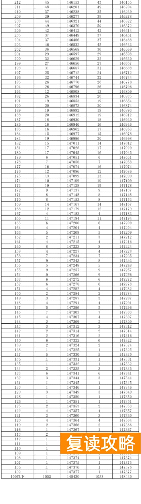
2024湖南高考一分一段表公布2024湖南高考物理类一分一段表:





2024湖南历史类一分一段表:





第一步,认真查看省招办向社会公布的各类湖南考生的一分一档成绩统计表,和往年高考各批次学校的投档线及录取情况统计表(包括每所高校录取的最高分、最低分、平均分以及投档线)。在一分一段表中查找与自己成绩相对应的分数排名和这一位次成绩共有多少高考湖南考生,以确定自己成绩在全省的位置。
第二步,查看自己的目标学校往年录取线在当年一分一段表中的位置,与自己的位置相对应来考虑。对目标学校要综合考虑其近三年的投档分数线、该分数当年在全省的排位以及在本省招生计划的变化情况。
第三步,在使用一分一段表的基础上,湖南考生还可以看自己的高考成绩与当年“一本”线的分数差值。