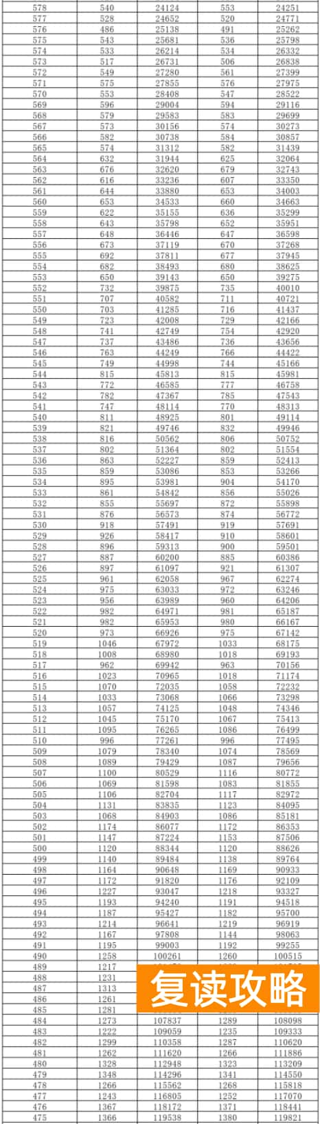
2024湖南高考历史类一分一段表已经发布,其中652分累计人数是57人;649人累计人数是82人;645分累计人数是112人;639分累计人数是187人。以下是详细内容,大家可以看一看。
2024湖南高考历史类一分一段表最新整理一分一段表的主要作用是帮助考生了解自己在全省或全市的排名情况,以及每一个分数段上的考生人数,从而为填报志愿提供参考。以下是小编整理的2024湖南高考历史类一分一段表,大家可以看一看:
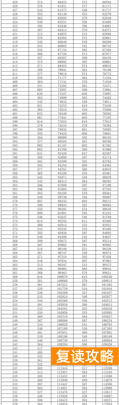
2024湖南高考物理类一分一段表:





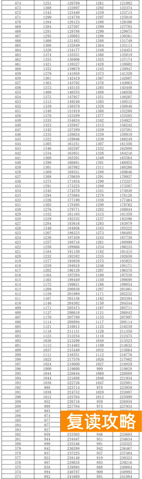
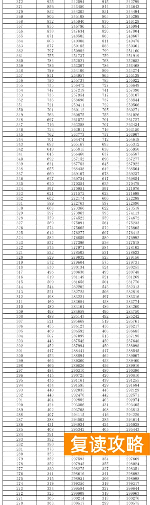
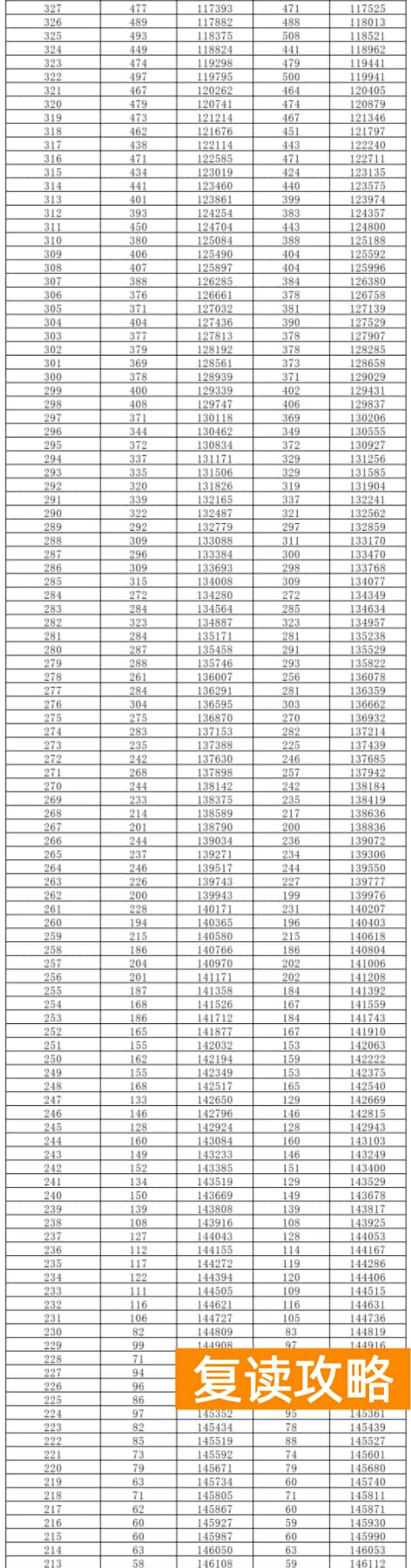
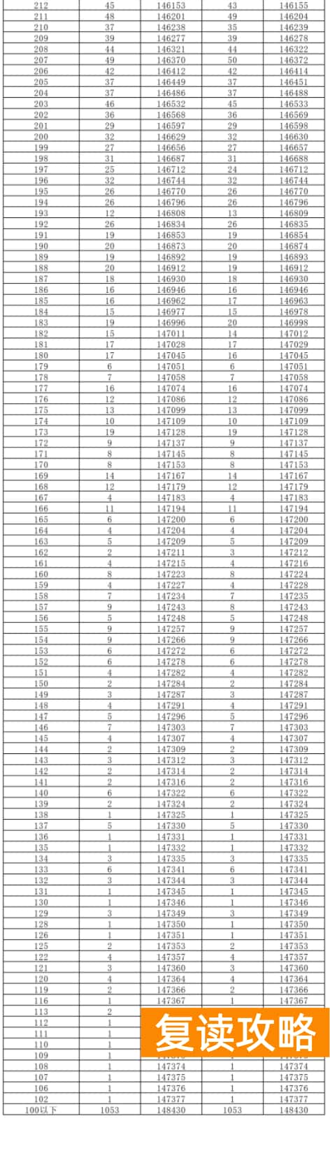
2024湖南历史类一分一段表:





1、显示每个分数的考生人数:通过一分一段表,考生可以了解自己在全省或全市考生中的排名和位置,以及与自己分数相同的考生人数。
2、确定分数线的位置:一分一段表有助于考生和家长理解分数线的意义,以及分数线是如何确定的。
3、填报志愿的参考:考生可以根据一分一段表来确定自己的志愿填报策略。通过比较往年的招生计划和一分一段表,可以更准确地预测自己被录取的可能性。
显示累计人数:一分一段表还显示了每个分数段的累计人数,帮助考生了解自己在全省的排名情况。
4、分析志愿梯度:考生可以利用一分一段表来分析平行志愿的梯度,比如从第一个志愿到最后一个志愿的排名变化和分数差距。
5、换算等效分:一分一段表还可以用于换算考生的等效分,即根据考生的位次和往年的分数段,估算出考生的等效分数,从而更准确地评估考生的竞争力。
一分一段表的使用方法考生拿到一分一段表后,首先找出自己的分数在表中所对应的位次,然后找出过去几年(最少三年)目标院校的录取分数线在表中的位次,将两个位次进行对比,然后进行合理预测。
从高到低排序,以一分为一段,制成考生投档分的“一分段表”。一分段表上的分数,不含和志愿相关的志愿加分。“一分段表”上的每个分要对应一个“人数”,即有多少考生是这个分数,还对应了一个“累加人数”,即是这个分数考生的排名。
一分一段表的作用是可以显示每一个分数全省考生有多少名,考生可以根据自己的分数对照一分段表,再参照往年各类学校各批次招生计划数,确定自己该如何填报志愿。
一分段表是将全市同科类(仅指普通高考文史理工类考生,不含艺术体育和职教师资、三校高职考生)考生的投档分(高考文考成绩总分+照顾加分,不含和志愿相关的志愿加分)从高到低排列(分数相同的则为并列),再按一分一段统计“本段人数”。