2024年湖南高考一分一段表已经公布,为了方便大家大致了解自己成绩排名,小编整理了2024年湖南一分一段表供大家参考。通过一分一段表,可以让考生不仅知道各批次的分数线,同时还能了解自己在全省考生中的排位,以及同分段考生的数量,更有利于考生对自己进行合理的定位,有效利用来指导考生填报志愿。
湖南2024高考一分一段表整理
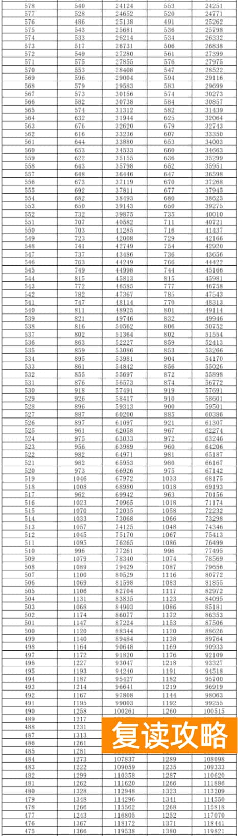
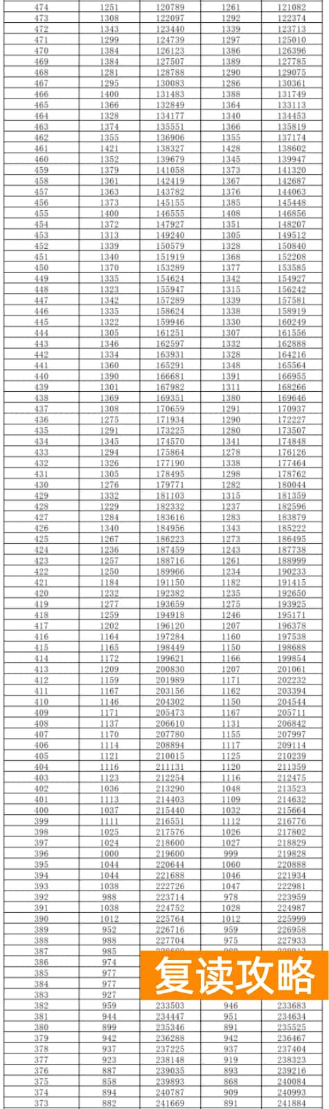
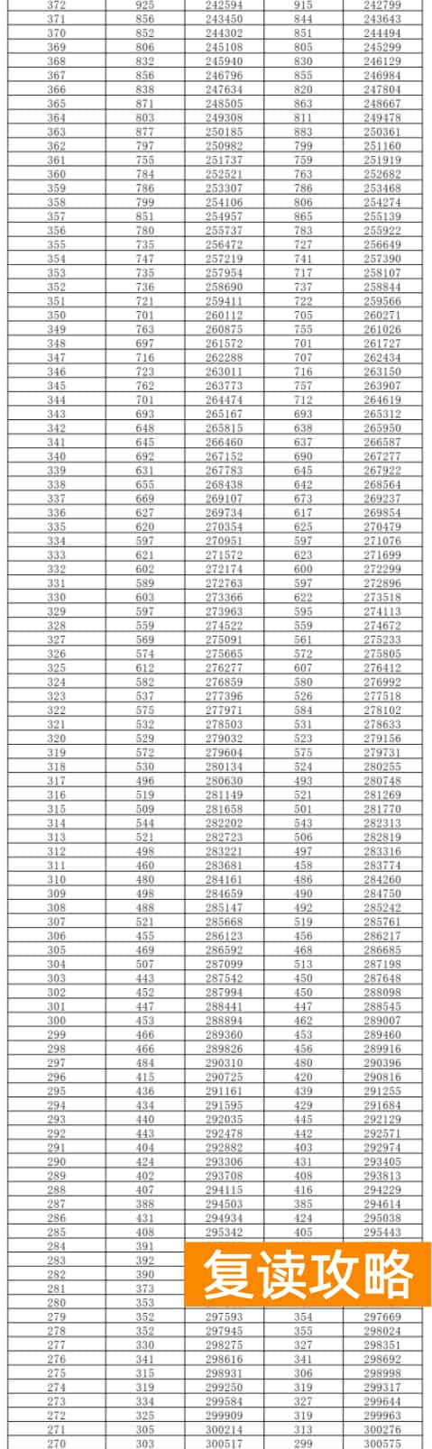
2024湖南高考物理类一分一段表:





2024湖南历史类一分一段表:





湖南2023高考一分一段表整理
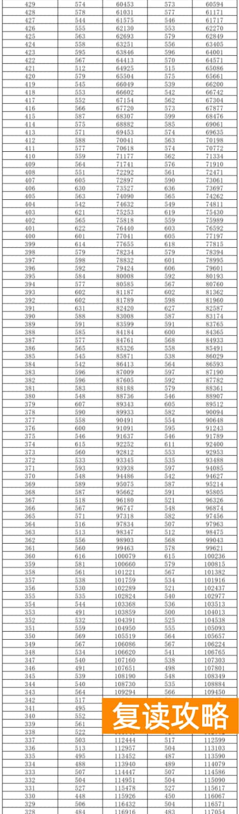
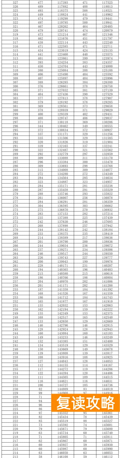
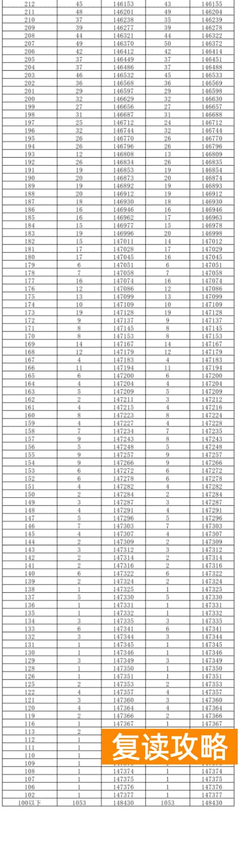
2023湖南高考历史类一分一段表:
湖南省2023年普通高考档分1分段统计表(历史科目组合)档分本段人数累计人数本段人数累计人数(含全国性加分)(含全国性和地方性加分)6554535556545585606536645656521175127765147968365078679064911971010064814111121126477118812064610128121326451214013145644131531415964311164111706421417814184641171951720164020215202216391422915236638202492025663719268182746362329123297635213122131863427339293476332536427374632183821939363118400164096301841819428629184361844662820456214676272147723490626235002051062539539375476242656525572623285933060262230623346366213165434670620396933970961934727357446184477142786617348053682261657862548766153589735911614469434395461357100062101661248104850106661148109653111961051114746116560957120462122760860126460128760747131151133860653136451138960558142262145160469149166151760375156673159060268163461165160166170065171660055175553176959972182775184459886191389193359765197870200359664204272207559582212485216059482220682224259383228978232059281237081240159184245480248159092254694257558983262983265858896272595275358791281691284458688290497294158596300010130425849930999931415838531849232335821053289108334158191338095343658098347889352557994357296362157810936811073728577943775105383357612438991163949575118401712540745741114128112418657311042381054291572116435411144025711214475119452157012646011224643569143474414447875681134857114490156710649631095010566120508311551255651275210125525056413953491405390563149549815155415621335631140568156116257931635844560134592713659805591376064138611855814762111516269557174638516964385561396524138657655514766711476723554163683416468875531656999167705455214171401527206551169730917073765501747483182755854916576481767734548194784218579195471668008161808054616781751688248545173834817484225441858533173859554318587181838778542175889317789555411759068180913554016792351679302539200943519494965381999634207970353719598291959898536217100462231012153523310279231103525342191049822210574533226107242161079053222110945216110065312211116623411240530233113992421148252923811637247117295282511188824611975527270121582721224752626112419253125005252531267225012750524256129282611301152324513173247132585222631343627213530521255136912601379052028013971275140655192741424527514340518293145382901463051730114839299149295163291516832715256515272154402691552551425715697256157815132781597528216063512283162582791634251132216580329166715102761685628316954509322171783281728250835517533345176275073071784031017937506327181673281826550530018467301185665043361880333518901503321191243321923350235519479365195985013741985338219980500341201943392031949936720561362206814983572091835521036497375212933832141949636521658361217804953832204137922159494384224253992255849337722802386229444924262322840223346491370235983702371649039923997396241124894112440842124533488423248314072494048742225253430253704864042565739825768485381260383902615848445526493461266194834642695747727096482434273914382753448147127862463279974804532831545828455479443287584482890347846029218462293654774912970948229847476439301484403028747547530623471307584744653108845731215473516316045113172647249132095499322254714673256249432719470491330535023322146953333586520337414685593414554934290467527346725233481346653135203539353524655263572954335895464525362545233641846354536799534369524625643736355437506461589379525803808646054538497554386404595183901552539165458535395505273969245756440114559402514565834069758040831455548412455454137645454741792556419324535734236558142513452570429355664307945153843473546436254505774405057444199449550446005564475544857445174594453494475954576959745946446555463245544650044559646920590470904445984751859847688443596481145924828044260048714600488804415894930359249472440599499025925006443963450536620506844385955113158451268437600517315945186243659352324595524574356115293561653073434635535706545372743360554175603543304326145478961554945431633554226275557243061956041624561964296085664961656812428566572155695738142762557840629580104266285846862758637425615590836155925242464859731639598914235886031960460495422661609806476114242161161591605617474205916218259362340419659628416706301041862463465631636414176256409062464265416620647106226488741563365343619655064146276597062566131413690666606886681941261567275623674424116476792263568077410621685436186869540962169164617693124086486981264669958407630704426327059040663671078648712384056547173265871896404652723846517254740362373007624731714026617366866773838401602742705907442840065074920655750833996697558966875751398626762156337638439763876853654770383966807753368877726395691782247067843239467078894667790993936527954665679755392649801956278038239165280847658810403906878153467281712389647821816478235938864782828647830063876318345961683622386684841436808430238564984792651849533846398543164885601383661860926608626138267586767676869373816278739463187568380675880696838825137962588694634888853786608935465089535377661900156769021137663490649634908453756779132667791522374686920126719219337370792719719929123726759339466693578371599939936109418837062094613616948043696789529167495478368663959546679614536762196575630967753666719724664697421365647978936449806536465898551647987123636519920264899360362627998296079996736165810048765310062036061210109962010124035961210171162610186635863710234865110251735767410302267110318835664410366664710383535566810433466210449735464110497565610515335364310561864410579735260410622260510640235162010684262910703135064810749064510767634962010811060010827634863710874762810890434761410936161310951734665711001866911018634557411059257611076234462911122161511137734363611185763611201334259811245559811261134161411306960811321934058511365459211381133958611424057911439033858711482759311498333758311541057711556033654011595053811609833557311652357611667433457011709358311725733360511769860311786033256511826355611841633154611880956111897733054911935854411952132955711991555012007132853512045052412059532750112095150412109932651012146150912160832560412206560612221432450312256850112271532352312309152512324032254112363254312378332152512415751712430032053912469654212484231954612524254012538231853512577752712590931746612624347312638231651412675750612688831548212723947512736331449912773849812786131349212823049512835631249812872849712885331146212919046912932231045912964946112978330949913014848313026630843513058344513071130744813103144813115930645513148645113161030546713195345813206830442713238042113248930344113282144713293630244713326844113337730145013371843513381230044113415945113426329940813456741413467729842213498942913510629744713543645713556329641013584640513596829541213625840613637429441913667741713679129338313706038013717129238913744939513756629138713783638713795329039913823540213835528937213860737713873228836113896835313908528738613935437513946028640113975538913984928536414011936614021528437014048936914058428336814085737214095628238014123737014132628134314158034214166828036414194436014202827935814230236314239127833514263733414272527736014299736214308727632314332032514341227531414363431414372627434514397933314405927332014429931414437327231814461732114469427130714492430514499927030014522429314529226934414556833914563126829514586330414593526729214615528814622326632914648432314654626530914679330114684726430114709430114714826329314738729314744126229514768229914774026128514796728514802526025414822124914827425924614846724714852125828614875328214880325727214902527214907525624614927124814932325525014952125414957725424814976924714982425324215001123515005925222915024023015028925122915046922315051225022415069322515073724921515090821215094924822115112921415116324722915135822115138424622715158522915161324520115178619915181224418915197519115200324320415217920515220824218215236117915238724119515255619415258124017715273317815275923918415291718615294523816315308015615310123714215322214015324123615815338015315339423517015355017115356523415115370115215371723318015388117815389523217115405217315406823114015419213815420623014615433814415435022913915447713515448522813015460713015461522712515473212715474222611515484711415485622513215497913415499022412415510312115511122313015523312715523822211215534511115534922111415545911415546322010215556110315556621912515568612515569121811315579911215580321795155894951558982161061560001061560042159715609798156102214891561869015619221394156280931562852126415634463156348211811564257915642721077156502801565072097715657976156583208571566365715664020765156701661567062065315675454156760205541568085115681120453156861541568652036015692159156924202611569826115698520153157035531570382006015709560157098199461571414615714419844157185461571901975115723649157239196441572804415728319543157323421573251946415738763157388193521574395215744019241157480411574811913115751131157512190401575514115755318941157592411575941882515761724157618187371576543715765518635157689361576911852715771628157719184241577402415774318313157753141577571822515777825157782181191577971915780118019157816181578191791915783519157838178121578471215785017727157874261578761762415789823157899175151579131415791317416157929161579291731915794820157949172111579591115796017115157974151579751701915799318157993169161580091615800916815158024151580241677158031715803116616158047161580471651215805912158059164141580731415807316311158084111580841621215809612158096161131581091315810916091581189158118159101581281015812815891581379158137157111581481115814815641581524158152155615815861581581546158164615816415331581673158167152615817361581731517158180715818015071581877158187149101581971015819714891582069158206147111582171115821714671582247158224145215822621582261445158231515823114331582343158234142315823731582371414158241415824114061582476158247139215824921582491382158251215825113731582543158254135215825621582561344158260415826013321582623158263132415826641582671317158273715827413051582784158278129115827911582791281158280115828012741582844158284126515828951582891252158291215829112431582943158294123115829511582951223158298315829812111582991158299120115830011583001194158304415830411811583051158305117115830611583061162158308215830811521583102158310114115831111583111133158314315831411221583162158316111115831711583171091158318115831810821583203158321107115832111583221062158323215832410011583241158325100以下11651594891164159489
2023湖南高考物理类一分一段表:
湖南省2023年普通高考档分1分段统计表(物理科目组合)档分本段人数累计人数本段人数累计人数(含全国性加分)(含全国性和地方性加分)68813571360687562565686971974685128312866841295119768315110161136821612616129681191451814768020165211686791217714182678322093521767731240312486762326323271675322953030167427322273286734837047375672293993040567143442424476703347534481669565315954066844575455856673661139624666636746468866566740687566646380363819663608636288166276939729536618610258810416608011057711186599411999512136589512941001313657931387941407656981485103151065510115861021612654116170212217346531071809106184065212219311261966651136206713621026501172184111221364911522991182331648162246116424956471232584124261964614627301372756645187291718729436441533070149309264316832381683260642177341518434446411803595180362464014837431553779639197394019539746381924132196417063720343351954365636195453020245676351854715182474963419749121994948633208512021051586321755295182534063120154962045544630227572322757716292415964251602262822461882186240627239642724364836262466673242672562524969222596984624240716223772216232687430262748362229177212897772621290801129680686202698280275834361928085602808623618305886530289256173179182319924461627994612809524615291975229898226143081006030810130613364104243641049461234710771340108346113631113437011204610325114593201152460933311792334118586083771216937412232607350125193591259160634112860348129396053671322737113310604376136033641367460338613989386140606023811437039214452601378147483831483560040115149408152435993581550736715610598419159264211603159739916325397164285964621678746216890595412171994131730359440617605401177045934151802042318127592442184624431857059141618878416189865904211929941419400589426197254391983958846820193459202985874722066546820766586429210944342120058548321577483216835844602203746722150583502225395012265158244322982442230935815052348750423597580477239644692406657950524469502245685785202498951825086577527255165342562057656926085558261785755352662054126719574503271235132723257354027663544277765725322819553228308571588287835972890557055929342562294675695892993158430051568523304545253057656757531029573311495665833161258131730565580321925803231056459532787601329115635703335758133492562627339846223411456157834562578346925606043516660335295559619357856273592255863736422625365475576063702861637163556638376666423780555561038276613384185546263890261939037553696395986953973255262640224631403635516614088566441027550651415366404166754965542191670423375486554284667343010547655435016704368054668744188688443685457144490269545063544735456377354579854367746314675464735426764699068747160541715477057064786654073148436730485965398034923979749393538725499647195011253773050694738508505367485144276051610535711521537065231653472652879719530355337535363276953804532795544278125461653173355160728553445308035596379556139529765567287635690252878257510778576805277935830378758467526767590707645923152577959849776600075247796062877760784523816614448316161552282962273828624435218656313887763320520864640028576417751985864860868650455188496570983865883517826665358146669751688267417880675775158396825685568432514812690688006923251384969917868701005128947081189270992511864716758577184951082872503819726685098957339889673564508913743119257448950785075161863753525068827604388476236505847768908487708450488777777880779645038837866088278846502928795889397978550191280500913806985008468134684081538499910822569068244449894483200951833954979128411291284307496917850299098521649598186010986862024949088691891687118493901878199138803149292388742924889554919058964791989874490969906169559082948999591611990918194881007926181001928204879269354492693746486974945189779472348599395511983957064849969650710029670848397097477972976804829689844597598655481102199466100999664480991100457995100659479991101448100110166047810291024771035102695477989103466976103671476973104439976104647475101410545310221056694741026106479102310669247310641075431048107740472991108534976108716471102710956110171097334709621105239631106964691020111543101911171546810691126121079112794467998113610101511380946610341146441034114843465105611570010651159084641062116762106011696846310261177881041118009462111611890411191191284619971199011017120145460104712094810461211914599821219309821221734581031122961101612318945710811240421079124268456106712510910551253234551056126165104712637045410801272451097127467453111612836111311285984521053129414106512966345110871305011085130748450104313154410411317894491112132656111113290044810831337391090133990447109513483410741350644461065135899105213611644510431369421048137164444106813801010771382414431092139102106913931044210801401821086140396441105114123310581414544401056142289106114251543910881433771083143598438104114441810421446404371105145523109314573343610881466111081146814435108014769110971479114341117148808112014903143310551498631057150088432109515095811001511884311081152039109715228543010781531171069153354429105115416810521544064281057155225105515546142710711562961065156526426115315744911461576724251105158554108515875742410381595921048159805423106316065510581608634221085161740109016195342110781628181067163020420107116388910651640854191076164965108016516541811051660701094166259417104716711710571673164161080168197108816840441510751692721079169483414103517030710321705154131010171317994171509412984172301979172488411987173288982173470410100917429710221744924091036175333102817552040899817633110091765294079641772959731775024061024178319103617853840597217929196717950540499218028399218049740394218122594318144040298018220598118242140110141832191023183444400988184207974184418399974185181960185378398911186092911186289397974187066967187256396101418808010201882763959741890549701892463949811900359741902203939481909839361911563929401919239411920973919391928629451930423909111937739231939653898941946679061948713889521956199541958253878971965168921967173869241974409061976233859611984019451985683848901992919001994683838892001808972003653828872010679002012653818492019168462021113808552027718582029693798692036408642038333788132044538142046473778662053198452054923768432061628422063343758682070308672072013748132078438142080153738452086888432088583728142095028022096603718172103198232104833708212111408352113183698112119518282121463688612128128682130143678102136228142138283668122144348012146293658522152868482154773648062160927912162683637412168337352170033627742176077822177853617292183367412185263607562190927412192673597642198567692200363587902206467842208203577212213677362215563567932221607772223333557072228677072230403547372236047332237733537022243066972244703527352250417252251953517462257877432259383507392265267512266893496632271896712273603486742278636752280353476992285626912287263466752292376742294003456792299166702300703446742305906812307513436242312146222313733426572318716522320253416362325076282326533407032332106972333503396282338386342339843385962344345902345743376422350766432352173366192356956132358303356082363035982364283346292369326292370573336082375406122376693326352381756422383113315892387645932389043306212393856192395233296012399865962401193285712405575802406993275712411285662412653265392416675442418093255492422165552423643245402427565362429003235242432805232434233225452438255452439683215332443585352445033205112448695072450103195132453825142455243185382459205262460503175292464495332465833165212469705272471103154992474694942476043144972479664952480993134632484294662485653124832489124802490453114612493734452494903104552498284492499393094932503214882504273084872508084892509163074842512924692513853064732517654742518593054352522004252522843044442526444472527313034342530784342531653024282535064302535953014392539454322540273004482543934432544702993992547924022548722984312552234342553062973862556093892556952963842559933872560822953812563743802564622944152567894132568752934072571964012572762923692575653822576582914112579764142580722903702583463722584442894132587594032588472883792591383872592342873702595083582595922863992599073982599902853812602883732603632843402606283452607082833442609723452610532823492613213512614042813342616553382617422803422619973442620862793302623273262624122783112626383022627142773212629593192630332763122632713102633432753452636163342636772743182639343162639932732672642012672642602722912644922892645492713052647973142648632702892650862902651532693002653863002654532682852656712782657312672952659662952660262662922662582922663182652652665232592665772642902668132812668582632572670702582671162622662673362712673872612692676052702676572602552678602522679092592322680922282681372582592683512602683972572332685842272686242562282688122262688502552062690182072690572542042692222072692642532272694492302694942522012696501992696932512012698511952698882502162700672132701012492092702762022703032481922704681952704982471812706491762706742461962708451952708692451852710301862710552441652711951682712232431942713891962714192421702715591672715862411712717301692717552401792719091762719312391582720671602720912381672722341652722562371552723891582724142361352725241322725462351622726861582727042341332728191262728302331292729481332729632321402730881402731032311352732231392732422301392733621402733822291432735051412735232281162736211132736362271162737371112737472261032738401022738492259827393899273948224105274043107274055223102274145103274158222102274247103274261221862743338627434722078274411792744262198627449785274511218892745869327460421787274673842746882161012747741022747902151032748771022748922147227494970274962213692750186527502721280275098802751072115727515559275166210572752125627522220948275260472752692085327531350275319207462753594627536520649275408472754122055227546052275464204432755034227550620349275552482755542024527559746275600201362756333527563520035275668362756711994627571445275716198402757544027575619732275786322757881962527581124275812195262758372527583719418275855182758551933127588631275886192242759102427591019117275927182759281902927595629275957189172759731727597418816275989162759901871427600314276004186232760262327602718514276040142760411841727605717276058183262760832627608418216276099172761011811327611212276113180172761291727613017992761389276139178727614572761461771327615813276159176727616572761661751527618016276182174227618222761841738276190827619217211276201927620117142762054276205170102762151027621516992762249276224168627623062762301676276236627623616672762437276243165327624632762461643276249327624916352762545276254162627626062762601615276265527626516072762727276272159627627872762791583276281327628215762762876276288156527629242762921557276299727629915472763068276307153427631042763111523276313327631415172763207276321150127632112763221495276326427632614712763271276327146827633582763351452276337227633714422763392276339143327634232763421423276345327634514022763472276347139427635142763511382276353227635313722763552276355136227635722763571351276358127635813422763602276360132427636442763641311276365127636513022763672276367129327637032763701282276372227637212742763764276376126227637822763781231276379127637912232763823276382121227638422763841193276387327638711832763903276390115227639232763931141276393127639411342763974276398112127639812763991112276400227640111012764010276401109327640432764041081276405127640510522764072276407103227640922764091021276410127641010022764122276412100以下8982773108982773102024湖南高考位次怎么查
1、根据考生个人的账号密码和考生号查询,进入到高考成绩查询界面,仔细看旁边有个排名情况,数字反映的就是高考位次。
2、另外考生可以查询本省的一分一段表确定一下自己的名次。
3、(1)位次不是名次,而是指考生成绩和考生人数总和后的综合排序;(2)高考分数最高的考生位次为1;(3)相同分数的考生名次相同,位次不同;(4)位次主要适用于各省参加全国普通高考的所有考生按科类(如理工类、文史类)进行排序;
(5)保送生、自主招生和艺术类、体育类招生等类别不适合用位次方法进行参考;(6)位次主要有省市位次、区县位次和学校位次,在做参考的时候,主要是以省市位次和区县位次为主;(7)文史类考生按照文科位次进行排序,理工类考生按照理科位次进行排序。