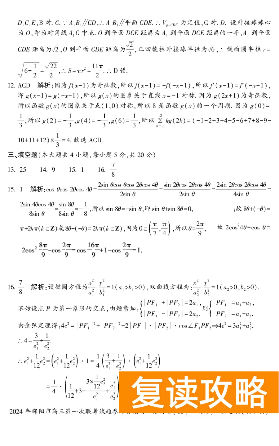
湖南邵阳一模2024届高三上第一次联考数学考试已于近日开考,为方便考生考后及时查看考试情况,查漏补缺、弥补不足,本文整理了湖南邵阳一模2024届高三上第一次联考数学试题答案解析相关信息!
数学试题及答案解析











*本文内容整理自网络,数据仅供个人学习参考。
湖南邵阳一模2024届高三上第一次联考数学考试已于近日开考,为方便考生考后及时查看考试情况,查漏补缺、弥补不足,本文整理了湖南邵阳一模2024届高三上第一次联考数学试题答案解析相关信息!
数学试题及答案解析











*本文内容整理自网络,数据仅供个人学习参考。