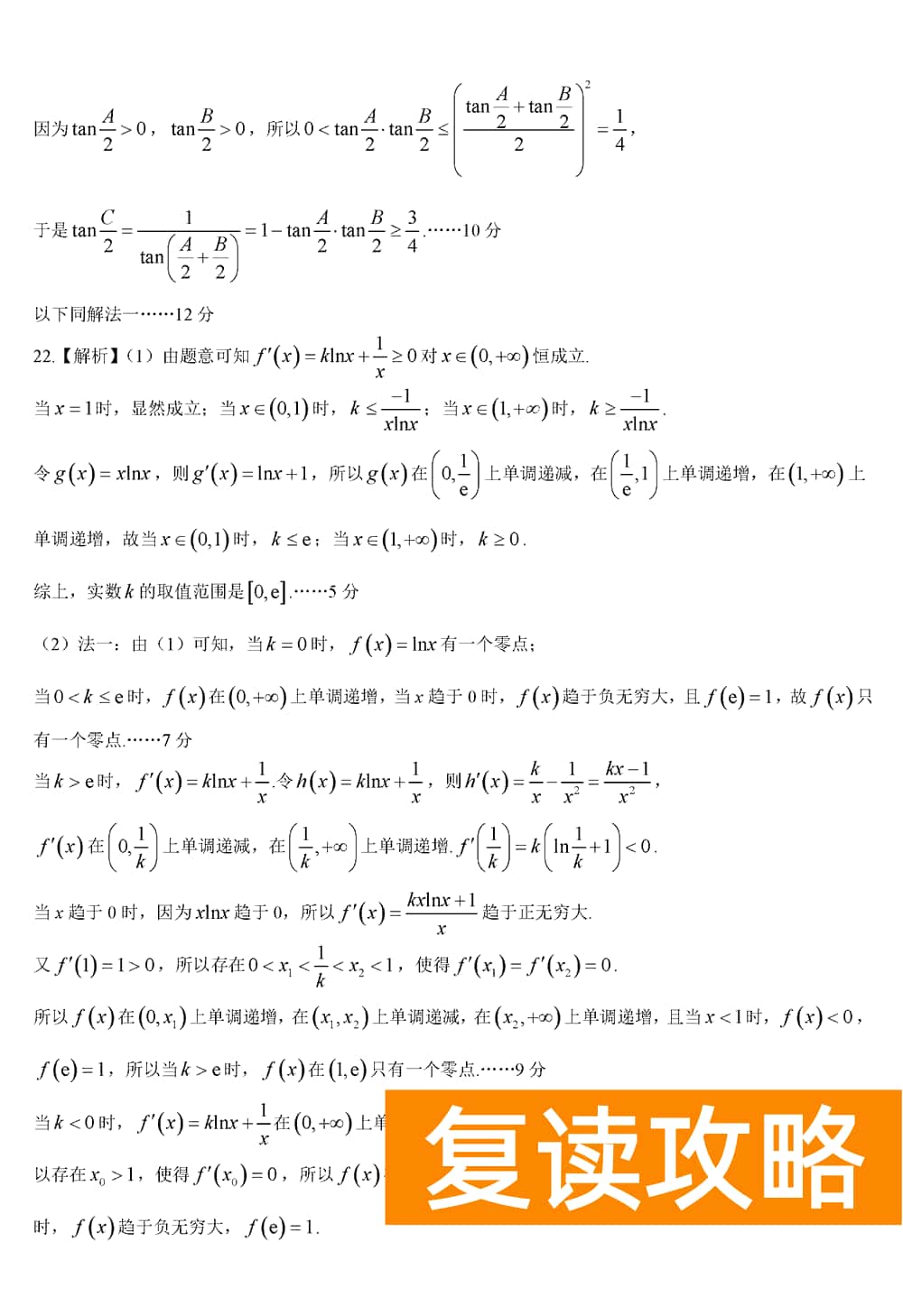
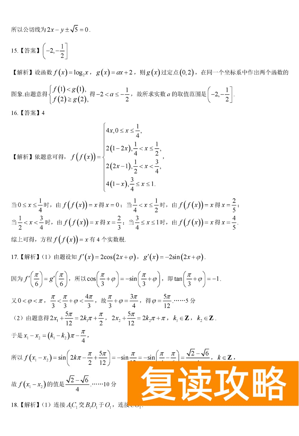
🏫 热搜院校:
湖南单招网 > 单招资讯 > 2024届湖南天壹名校联盟高三11月联考数学试题及答案

2024届湖南天壹名校联盟高三11月联考数学试题及答案

发布时间:2026-03-27 21:16 | 来源:湖南单招网

湖南省天壹名校联盟2023-2024学年高三11月联考数学考试已于近日开考,为方便考生考后及时查看考试情况,查漏补缺、弥补不足,本文整理了2024届天壹名校联盟高三11月大联考数学试题答案解析相关信息!

2024届湖南天壹名校联盟高三11月联考数学试题及答案2024届湖南天壹名校联盟高三11月联考数学试题及答案2024届湖南天壹名校联盟高三11月联考数学试题及答案2024届湖南天壹名校联盟高三11月联考数学试题及答案2024届湖南天壹名校联盟高三11月联考数学试题及答案2024届湖南天壹名校联盟高三11月联考数学试题及答案2024届湖南天壹名校联盟高三11月联考数学试题及答案2024届湖南天壹名校联盟高三11月联考数学试题及答案2024届湖南天壹名校联盟高三11月联考数学试题及答案2024届湖南天壹名校联盟高三11月联考数学试题及答案2024届湖南天壹名校联盟高三11月联考数学试题及答案2024届湖南天壹名校联盟高三11月联考数学试题及答案2024届湖南天壹名校联盟高三11月联考数学试题及答案2024届湖南天壹名校联盟高三11月联考数学试题及答案2024届湖南天壹名校联盟高三11月联考数学试题及答案2024届湖南天壹名校联盟高三11月联考数学试题及答案

*本文内容整理自网络,数据仅供个人学习参考。

相关标签: 湖南
上一篇
长沙市景雅高级中学教学厉害吗?长沙景雅高级中学怎么样
下一篇
湘潭垣鑫复读学校好不好 湘潭复读学校排名及费用
长沙教育网 · 一站式升学服务平台
专注长沙学校、高考复读、单招培训、升学择校咨询
© 2025-2026 长沙教育网 版权所有 复读学校
湘ICP备2025108451号-5
公众号二维码
扫码关注公众号
📞 立即咨询客服
升学择校 · 专业解答