🏫 热搜院校:
湖南单招网 > 单招资讯 > 2023郴州嘉禾县中考一分一段表 中考成绩排名

2023郴州嘉禾县中考一分一段表 中考成绩排名

发布时间:2026-03-27 20:51 | 来源:湖南单招网

分数段880及以上,人数1,累计人数1。分数段878,人数1,累计人数2。分数段875,人数2,累计人数4。分数段872,人数1,累计人数5。分数段871,人数2,累计人数6。分数段867,人数2,累计人数8。

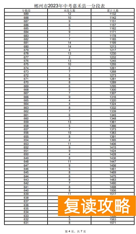
2023郴州嘉禾县中考一分一段表

2023郴州嘉禾县中考一分一段表 中考成绩排名

2023郴州嘉禾县中考一分一段表 中考成绩排名

2023郴州嘉禾县中考一分一段表 中考成绩排名

2023郴州嘉禾县中考一分一段表 中考成绩排名

2023郴州嘉禾县中考一分一段表 中考成绩排名

2023郴州嘉禾县中考一分一段表 中考成绩排名

2023郴州嘉禾县中考一分一段表 中考成绩排名

上一篇
2023长沙中考最低录取分数线是多少
下一篇
2023郴州临武县中考一分一段表 中考成绩排名
长沙教育网 · 一站式升学服务平台
专注长沙学校、高考复读、单招培训、升学择校咨询
© 2025-2026 长沙教育网 版权所有 复读学校
湘ICP备2025108451号-5
杨老师
📞 立即咨询客服
升学择校 · 专业解答