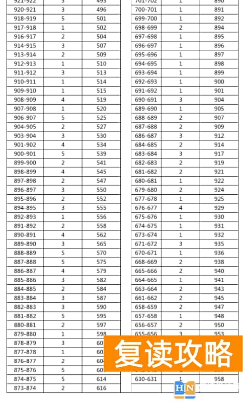
2023年湘西古丈县中考普高分数段统计:≥1063累计人数104;1062-1063区间人数2、累计人数106;1061-1062区间人数3、累计人数109;1060-1061区间人数2、累计人数111;1059-1060区间人数5、累计人数116。
2023年湘西古丈县中考普高分数段统计


2023年湘西古丈县中考普高分数段统计:≥1063累计人数104;1062-1063区间人数2、累计人数106;1061-1062区间人数3、累计人数109;1060-1061区间人数2、累计人数111;1059-1060区间人数5、累计人数116。
2023年湘西古丈县中考普高分数段统计

