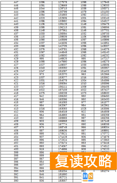
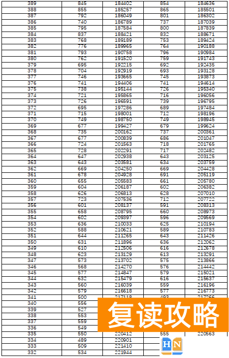
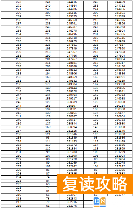
为方便考生准确定位成绩,我省继续公布全省高考考生“一段”统计表。这里要注意以下三点:
一是继续按照教育部的统一要求,在“一段”统计表中不公布前50名考生的具体分数和分布情况。
第二,由于我省地方加分项目仅用于我省省级高校备案,我们根据加分的适用范围对全省考生的成绩进行了统计排名。考生填报志愿时,可参照其适用的全省排名进行综合分析。
第三,对于艺术类和体育类考生,我省今年公布了各专业考试类本科在线综合成绩分段统计表。考生可登录“考生综合信息平合”(网站https)://ks.hneao.cn),通过数据下载链接,下载我省2022年普通高考各专业考试类本科在线综合成绩分段统计表。
(历史科目组合)










湖南省2022年普通高考档分1分段统计表
(物理科目组合)










2022年,我省共有46.52万考生参加全省统一高考,其中普通高考考生42.96万(历史类考生17.47万,占40.67%;25.49万物理类考生,占59.33%),占92.35%;职高对口类考生3.51万人,占7.55%;少年班等其他考生0.06万人,占0.1%。高考文化总分(含优惠分)超过600分的考生9396人,其中历史类980人,物理类8416人。